十二烷基磷酰胆碱-d38
Dodecylphosphorylcholine-d38

产品价格
| 产品编号 | 品牌 | 包装单位 | 单价(元) | 现货 |
| 3079691 | Sigma-Aldrich | 500 MG | 15860 | 请咨询 |
| 3441340 | CIL | 0.5G | 询价 | 请咨询 |
| 4095529 | Avanti | 100 MG | 5120 | 请咨询 |
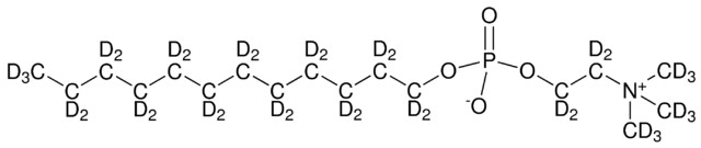
结构式
![]() |
基本信息
| Linear Formula【线性分子式】 | [CD3(CD2)11O](O-)P(=O)OCD2CD2N+(CD3)3 |
| Molecular weight | 389.70 |
| MDL number | MFCD01321393 |
| PubChem Substance ID【PubChem化学物质编号】 | 24872104 |
| NACRES | NA.12 |
产品性质
| Quality Level【质量水平】 | 200 |
| isotopic purity【同位素纯度】 | 98 atom % D |
| technique(s) | NMR: suitable bio NMR: suitable |
| mp | 247-249 ℃ (lit.) |
| mass shift【质量偏移】 | M+38 |
| SMILES string | [O-]P(OC([2H])(C([N+](C([2H])([2H])[2H])(C([2H])([2H])[2H])C([2H])([2H])[2H])([2H])[2H])[2H])(OC([2H])(C([2H])(C([2H])(C([2H])(C([2H])(C([2H])(C([2H])(C([2H])(C([2H])(C([2H])(C([2H])(C([2H])([2H])[2H])[2H])[2H])[2H])[2H])[2H])[2H])[2H])[2H])[2H])[2H])[2H] |
| InChI | 1S/C17H38NO4P/c1-5-6-7-8-9-10-11-12-13-14-16-21-23(19,20)22-17-15-18(2,3)4/h5-17H2,1-4H3/i1D3,2D3,3D3,4D3,5D2,6D2,7D2,8D2,9D2,10D2,11D2,12D2,13D2,14D2,15D2,16D2,17D2 |
| InChI key | QBHFVMDLPTZDOI-DHIOKLJKSA-N |
安全信息
| Storage Class Code【储存分类代码】 | 13 - Non Combustible Solids |
| WGK | WGK 3 |

