Dynorphin A porcine
产品价格
| 产品编号 | 品牌 | 包装单位 | 单价(元) | 现货 |
| 3080475 | Sigma-Aldrich | 0.1 MG | 1470 | 请咨询 |
| 3080475 | Sigma-Aldrich | 0.5 MG | 4080 | 请咨询 |
| 3080475 | Sigma-Aldrich | 1 MG | 7290 | 请咨询 |
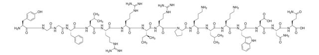
结构式
![]() |
基本信息
| Empirical Formula【经验(实验)分子式】 | C99H155N31O23 |
| Molecular weight | 2147.48 |
| MDL number | MFCD00076351 |
| PubChem Substance ID【PubChem化学物质编号】 | 24894194 |
| NACRES | NA.32 |
| Amino Acid Sequence | Tyr-Gly-Gly-Phe-Leu-Arg-Arg-Ile-Arg-Pro-Lys-Leu-Lys-Trp-Asp-Asn-Gln |
| Application【应用】 | Dynorphin A has been used in immunohistochemistry. |
| Biochem/physiol Actions【生化/生理作用】 | Dynorphin A porcine is an opioid peptide. It is an endogenous κ-agonist that is resistant to enzymatic degradation. Dynorphin A has the ability to decrease calcium current by selectively decreasing the large inactivating (N) calcium current. It can decrease the calcium-dependent action potential duration of DRG (dorsal root ganglion) and myenteric neurons. |
产品性质
| Quality Level【质量水平】 | 200 |
| Assay【测定】 | ≥95% (HPLC) |
| UniProt accession no.【UniProt登记号】 | P01214 P32300 P33533 P41145 |
| storage temp.【储存温度】 | −20℃ |
| SMILES string | [H]N[C@@H](Cc1ccc(O)cc1)C(=O)NCC(=O)NCC(=O)N[C@@H](Cc2ccccc2)C(=O)N[C@@H](CC(C)C)C(=O)N[C@@H](CCCNC(N)=N)C(=O)N[C@@H](CCCNC(N)=N)C(=O)N[C@@H]([C@@H](C)CC)C(=O)N[C@@H](CCCNC(N)=N)C(=O)N3CCC[C@H]3C(=O)N[C@@H](CCCCN)C(=O)N[C@@H](CC(C)C)C(=O)N[C@@H](CCCCN)C(=O)N[C@@H](Cc4c[nH]c5ccccc45)C(=O)N[C@@H](CC(O)=O)C(=O)N[C@@H](CC(N)=O)C(=O)N[C@@H](CCC(N)=O)C(O)=O |
| InChI | 1S/C99H155N31O23/c1-7-55(6)81(129-86(142)66(28-18-40-112-98(107)108)118-83(139)65(27-17-39-111-97(105)106)120-88(144)70(44-54(4)5)125-89(145)71(46-56-21-9-8-10-22-56)117-79(135)52-115-78(134)51-116-82(138)61(102)45-57-31-33-59(131)34-32-57)94(150)122-67(29-19-41-113-99(109)110)95(151)130-42-20-30-75(130)93(149)121-64(26-14-16-38-101)85(141)124-69(43-53(2)3)87(143)119-63(25-13-15-37-100)84(140)126-72(47-58-50-114-62-24-12-11-23-60(58)62)90(146)128-74(49-80(136)137)92(148)127-73(48-77(104)133)91(147)123-68(96(152)153)35-36-76(103)132/h8-12,21-24,31-34,50,53-55,61,63-75,81,114,131H,7,13-20,25-30,35-49,51-52,100-102H2,1-6H3,(H2,103,132)(H2,104,133)(H,115,134)(H,116,138)(H,117,135)(H,118,139)(H,119,143)(H,120,144)(H,121,149)(H,122,150)(H,123,147)(H,124,141)(H,125,145)(H,126,140)(H,127,148)(H,128,146)(H,129,142)(H,136,137)(H,152,153)(H4,105,106,111)(H4,107,108,112)(H4,109,110,113)/t55-,61-,63-,64-,65-,66-,67-,68-,69-,70-,71-,72-,73-,74-,75-,81-/m0/s1 |
| InChI key | JMNJYGMAUMANNW-FIXZTSJVSA-N |
| Gene Information | human ... OPRK1(4986) mouse ... Oprd1(18386) pig ... PDYN(445529) rat ... Oprd1(24613) |
安全信息
| Storage Class Code【储存分类代码】 | 13 - Non Combustible Solids |
| WGK | WGK 3 |
| Personal Protective Equipment【个人防护装备】 | Eyeshields, Gloves, type N95 (US) |

